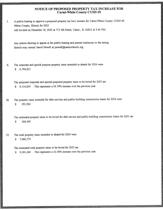
Per Public Act 103-0539 public entities are required to post Truth in Taxation notices on their website for a minimum of 30 consecutive days prior to approval of a tax levy extension that exceeds 5% growth from the previous year.


November 18, 2025
Per Public Act 103-0539 public entities are required to post Truth in Taxation notices on their website for a minimum of 30 consecutive days prior to approval of a tax levy extension that exceeds 5% growth from the previous year.
